您好!欢迎您访问新乡锋科振动筛专业生产厂家官方网站!

全国客服咨询热线:
151 3730 7363

矿用振动筛系列当前位置:首页 > 产品展示 > 矿用振动筛系列
YK圆振筛

YK圆振筛

全国客服咨询热线:151 3730 7363

产品详情

YK型块偏心圆振动筛是一种常用的简便型矿用直线型振动筛,因其筛箱运动轨迹为圆,故称呼为圆振动筛。该系列振动筛多为一层筛分,亦可以使用双层筛分,具有处理量大,维护成本低,安装使用简单等特点,适用于煤、石灰石、碎石、砂砾、金属或非金属矿石及其他物料的筛分。

 

特点:

1) 振动强度高、生产能力大、筛分效率高;

2) 细粒级有机会向料层下部移动,并通过筛孔排出;

3) 卡在筛孔中的物料可以跳出,防止筛孔堵塞;

4) 设备维修保养方便,使用周期及整机使用寿命长;

5) 采用十字轴万向节传动轴或橡胶联轴节等柔性联接,运转平稳;

6) 该筛机结构简单,有利于提高设备的制造工艺水平和装配精度;

7) 可以变化筛面倾角,从而改变物料沿筛面的运动速度,提高筛子的处理量;

8) 激振器采用块偏心形式,不仅使激振器偏心质量单重激振力增大,而且激振力可随机调控,便于模块化设计和使用。

 

工作原理:

YK圆振动筛主要由筛箱、筛网、振动器及减振弹簧等组成。振动器安装在筛箱侧板上,并由电动机通过联轴器带动旋转,产生离心惯性力,迫使筛箱振动。YK型块偏心圆振动筛是单质量弹性系统,电动机经弹性联轴器,使激振器偏心块产生高速旋转。运转的偏心块产生很大的离心力,激发筛箱产生一定振幅的圆运动,筛上物料在倾斜的筛面上受到筛箱传给的冲量而产生连续的抛掷运动,物料与筛面相遇的过程中使小于筛孔的颗粒透筛,从而实现分级。

注:该系列矿用振动筛是一种较轻型的筛分设备,和YA系列圆振动筛相比较具有结果简单,造价低,可维护性强等优点。

 

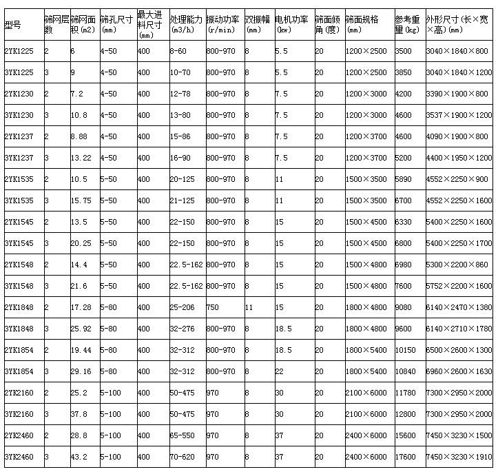
技术参数


ICP备案:豫ICP备17019298号-3